Blitz als Aufhellblitz
Re: Blitz als Aufhellblitz
Ist alles schon etwas verwirrend.
Gruß Binärius aka Jens
Lumix FZ38 || Lumix G81 || Lumix G Vario 12-32mm || Lumix G Vario 45-150mm || Sigma 2.8/30/60mm ||
Kamlan 1.1/50mm MK2 || Olympus 8.0/9mm || Novflexar 5.6/400mm || Raynox-DCR 150/250
Meine Fotos auf flickr
Lumix FZ38 || Lumix G81 || Lumix G Vario 12-32mm || Lumix G Vario 45-150mm || Sigma 2.8/30/60mm ||
Kamlan 1.1/50mm MK2 || Olympus 8.0/9mm || Novflexar 5.6/400mm || Raynox-DCR 150/250
Meine Fotos auf flickr
- Fotopanther
- Beiträge: 1907
- Registriert: Dienstag 25. Oktober 2011, 12:24
- Wohnort: Münsterland
- Kontaktdaten:
Re: Blitz als Aufhellblitz
Ich habe keine Probleme mit dem Verschluss.Valentino hat geschrieben:Dann müsstest Du aber aufgrund des Schlitzverschlusses ein teilbelichtetes Bild bekommen. Beim Schlitzverschluss werden bei kürzeren Zeiten die Seiten abgeschattet bzw. man sieht auf dem Bild den Schlitz.Fotopanther hat geschrieben: Ich blitze mit meiner G5 regelmäßig mit 1/500 sek und kürzer. Ich benutzte dafür immer "S".
Alternativ könnte man sofern vorhanden den elektronischen Verschluss benutzen. Damit gibt es keine Blitzsynchronisationszeit. Fotografierst Du elektronisch?
Mit dem elektronischen Verschluss, löst der Blitz - wie schon geschrieben - nicht aus.
Der Fotopanther
Das Equipment, welches wir gebrauchen, spielt nur eine kleine Rolle. Vielmehr kommt es darauf an, es zu beherrschen!
__________________________________________
www.naturfotographie.net
G91, G9 II
__________________________________________
www.naturfotographie.net
G91, G9 II
-
tamansari
Re: Blitz als Aufhellblitz
nicht so hektisch - weiterlesen!Binärius hat geschrieben: Ist alles schon etwas verwirrend.
ZITAT: Im intelligenten Automatikmodus wird die Verschlusszeit je nach erkannter Szene geändert.
ZITAT ENDE.
-
tamansari
Re: Blitz als Aufhellblitz
meine Onkel, irischer Abstammung, mütterlicherseits, 2. Grades und mit Sommersprossen und roten Haaren gesegnet, sagte immer: Was Du schwarz auf weiss besitzt kannst du getrost nach Hause tragen............................. das gildet. Oder etwa doch nicht? Wollen die Jungs von Pana uns verkakeiern?Lenno hat geschrieben:Ja, da sind dann zwar schnelle Verschlusszeiten möglich, aber blitzen tuts trotzdem nicht. ???
Erst unter 160/stel. Zumindest bei der G3.
-
Lenno
Re: Blitz als Aufhellblitz
Binärius hat es ja oben schon aufgelöst. 1/160stel mehr ist halt nicht drin. (Lumix G3)
Warum das scheinbar im Programm S mit der G5 geht, ist mir schleierhaft, da diese ja auch einer Synchronisationszeit unterliegen müßte, das kann ich aber nicht nachprüfen da ich die Kamera leider nicht habe.
Warum das scheinbar im Programm S mit der G5 geht, ist mir schleierhaft, da diese ja auch einer Synchronisationszeit unterliegen müßte, das kann ich aber nicht nachprüfen da ich die Kamera leider nicht habe.
Re: Blitz als Aufhellblitz
Ich habe das noch nicht getestet, da ich den Blitz eh nicht verwende.
Zum Aufhellen könnte er natürlich mal interessant sein.
Ich glaube aber auch, dass das nur bis zur 1/160 Sek. funktioniert.
Ich teste nachher mal zuhause und werde berichten wie sich das da mit der G5 verhält.
Zum Aufhellen könnte er natürlich mal interessant sein.
Ich glaube aber auch, dass das nur bis zur 1/160 Sek. funktioniert.
Ich teste nachher mal zuhause und werde berichten wie sich das da mit der G5 verhält.
Gruß Binärius aka Jens
Lumix FZ38 || Lumix G81 || Lumix G Vario 12-32mm || Lumix G Vario 45-150mm || Sigma 2.8/30/60mm ||
Kamlan 1.1/50mm MK2 || Olympus 8.0/9mm || Novflexar 5.6/400mm || Raynox-DCR 150/250
Meine Fotos auf flickr
Lumix FZ38 || Lumix G81 || Lumix G Vario 12-32mm || Lumix G Vario 45-150mm || Sigma 2.8/30/60mm ||
Kamlan 1.1/50mm MK2 || Olympus 8.0/9mm || Novflexar 5.6/400mm || Raynox-DCR 150/250
Meine Fotos auf flickr
Re: Blitz als Aufhellblitz
Ich hab es ausprobiert. Auch im Modus "S" lassen sich weder bei G5 noch bei G6 kürzere Verschlusszeiten als 1/160s einstellen, sobald der Blitz ausgeklappt wird. Ebensowenig funktioniert das mit einem externen Blitz.
Gruß
Dirk
Dirk
-
tamansari
Re: Blitz als Aufhellblitz
......und warum schreiben die dann so einen Blödsinn in die Gebrauchsanweisung ? (VQT3N61)diggi0311 hat geschrieben:Ich hab es ausprobiert. Auch im Modus "S" lassen sich weder bei G5 noch bei G6 kürzere Verschlusszeiten als 1/160s einstellen, sobald der Blitz ausgeklappt wird. Ebensowenig funktioniert das mit einem externen Blitz.
-
Lenno
Re: Blitz als Aufhellblitz
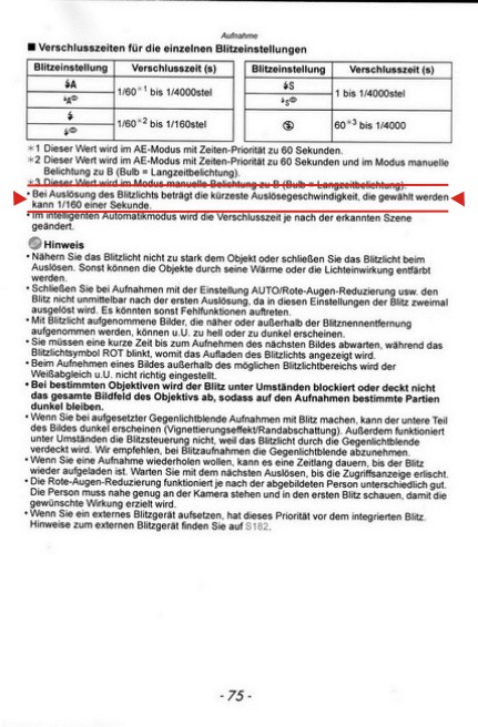
Wieso, sie schreiben doch gar kein Blödsinn, im Automatikblitzmodus steht doch 1/60 bis 1/4000. Das heißt diese Zeiten sind möglich, heißt aber nicht das es zu jeder dieser Zeiten dann auch blitzt. In dem von Binärius umrahmten Kasten steht ja das bei benötigter Blitzleistung maximal 1/160stel möglich ist, sowie bei den erzwungenen Blitzarten von vornherein nur 1/160stel möglich sind.
Also ist Aufhellblitzen, so wie man das von der DSLR kennt nicht möglich.
Also ist Aufhellblitzen, so wie man das von der DSLR kennt nicht möglich.
Re: Blitz als Aufhellblitz
Auch die handelsüblichen DSLR-Kameras haben einen Schlitzverschluß, ich zitiere mal die Wikipedia:
Die schnellsten handelsüblichen digitalen Spiegelreflexkameras erlauben Blitzsynchronzeiten von 1/500 Sekunde. Auch einige kompakte Digitalkameras haben derart kurze Synchronzeiten.
Bei Mittelformatkameras mit Schlitzverschlüssen liegt die Blitzsynchronzeit aufgrund des größeren Verschlussvorhanges meist bei 1/60 Sekunde oder länger. Viele Mittelformatkameras verwenden jedoch einen Zentralverschluss (z. B. die meisten Produkte der Firma Hasselblad) und ermöglichen daher sehr kurze Synchronzeiten von 1/500 bis zu 1/2000 Sekunde.
Gruß
Dirk
Dirk
- Fotopanther
- Beiträge: 1907
- Registriert: Dienstag 25. Oktober 2011, 12:24
- Wohnort: Münsterland
- Kontaktdaten:
Re: Blitz als Aufhellblitz
So, ich habe gerade meine Bilder überprüft: Mit externem Blitz, Verschlusszeit 1/160 sek!!
Ich hätte schwören können, das die Verschlusszeit kürzer war!
Allerdings hat mir das als Aufhellblitz bislang immer gereicht, daher bin ich davon ausgegangen, das eine schnellere Verschlusszeit möglich ist. Allerdings ist 1/160 sek schon recht komfortabel.
Werde trotzdem in Zukunft nur noch auf "P" blitzen, so kann kein Bild überbelichtet werden.
Der Fotopanther
Ich hätte schwören können, das die Verschlusszeit kürzer war!
Allerdings hat mir das als Aufhellblitz bislang immer gereicht, daher bin ich davon ausgegangen, das eine schnellere Verschlusszeit möglich ist. Allerdings ist 1/160 sek schon recht komfortabel.
Werde trotzdem in Zukunft nur noch auf "P" blitzen, so kann kein Bild überbelichtet werden.
Der Fotopanther
Das Equipment, welches wir gebrauchen, spielt nur eine kleine Rolle. Vielmehr kommt es darauf an, es zu beherrschen!
__________________________________________
www.naturfotographie.net
G91, G9 II
__________________________________________
www.naturfotographie.net
G91, G9 II
Re: Blitz als Aufhellblitz
Hallo
Das mit der "endlos langen" Blitzsynchronzeit ist ein bauartbedingtes Problem aller Kameras mit Schlitzverschluss (und hat mich auch schon oft genervt). Wer sich mal die Mühe macht nachzulesen, wie so ein Verschluss funktioniert, wird verstehen, warum die Synchronzeit notwendig ist und sich nicht beliebig verkürzen lässt. Was ich aber nicht verstehe: Meine alte analoge SLR hatte eine kürzere Synchronzeit als die G-Kameras - und das, obwohl der Verschluss größer, die bewegten Massen damit schwerer und die Laufwege der Vorhänge weiter waren. Ich denke, 1/500 Sek. dürfte bei den kleinen Verschlüssen der G's durchaus möglich sein.
Der Vergleich mit der 120,-€-Kamera liegt nahe. Dazu ist aber zu sagen, dass Kompakt- und Bridgekameras - also Kameras ohne Wechselobjektiv - einen Zentralverschluss haben. Dieser gibt den Sensor immer auf der gesamten Fläche frei, so dass auch sehr kurze Blitzzeiten möglich sind. Mit der FZ-50 habe ich problemlos auch bei 1/1000 Sek geblitzt. Ein Schlitzverschluss gibt den Sensor dagegen erst bei Zeiten größer oder gleich der Synchronzeit komplett frei, darunter ist es immer nur ein schmaler Schlitz, der über den Sensor wandert. Der Blitz darf erst in dem Moment zünden, wenn der Sensor komplett freiliegt, sonst wird nur ein Streifen des Sensors mit Blitzlicht belichtet.
Kürzere Belichtungszeiten sind nur mit speziellen Blitzgeräten und -Steuerungen möglich. Dabei sendet der Blitz eine ganze Salve von kürzeren, schwächeren Blitzen ab während sich der Verschlussvorhang über den Sensor bewegt. So wird jeder Teil des Sensors genau mit der richtigen Menge an (schwächerem) Blitzlicht belichtet. Dabei handelt es sich übrigens nicht um eine ganz neue Erfindung, das konnte die Minolta Dynax 700si schon vor 20 Jahren.
Eventuell lässt sich das heute aber viel einfacher lösen. Muss es zum Aufhellen denn wirklich blitzen oder tut es auch eine LED-Videoleuchte? Wer hat das schonmal probiert?
Icetiger
Das mit der "endlos langen" Blitzsynchronzeit ist ein bauartbedingtes Problem aller Kameras mit Schlitzverschluss (und hat mich auch schon oft genervt). Wer sich mal die Mühe macht nachzulesen, wie so ein Verschluss funktioniert, wird verstehen, warum die Synchronzeit notwendig ist und sich nicht beliebig verkürzen lässt. Was ich aber nicht verstehe: Meine alte analoge SLR hatte eine kürzere Synchronzeit als die G-Kameras - und das, obwohl der Verschluss größer, die bewegten Massen damit schwerer und die Laufwege der Vorhänge weiter waren. Ich denke, 1/500 Sek. dürfte bei den kleinen Verschlüssen der G's durchaus möglich sein.
Der Vergleich mit der 120,-€-Kamera liegt nahe. Dazu ist aber zu sagen, dass Kompakt- und Bridgekameras - also Kameras ohne Wechselobjektiv - einen Zentralverschluss haben. Dieser gibt den Sensor immer auf der gesamten Fläche frei, so dass auch sehr kurze Blitzzeiten möglich sind. Mit der FZ-50 habe ich problemlos auch bei 1/1000 Sek geblitzt. Ein Schlitzverschluss gibt den Sensor dagegen erst bei Zeiten größer oder gleich der Synchronzeit komplett frei, darunter ist es immer nur ein schmaler Schlitz, der über den Sensor wandert. Der Blitz darf erst in dem Moment zünden, wenn der Sensor komplett freiliegt, sonst wird nur ein Streifen des Sensors mit Blitzlicht belichtet.
Kürzere Belichtungszeiten sind nur mit speziellen Blitzgeräten und -Steuerungen möglich. Dabei sendet der Blitz eine ganze Salve von kürzeren, schwächeren Blitzen ab während sich der Verschlussvorhang über den Sensor bewegt. So wird jeder Teil des Sensors genau mit der richtigen Menge an (schwächerem) Blitzlicht belichtet. Dabei handelt es sich übrigens nicht um eine ganz neue Erfindung, das konnte die Minolta Dynax 700si schon vor 20 Jahren.
Eventuell lässt sich das heute aber viel einfacher lösen. Muss es zum Aufhellen denn wirklich blitzen oder tut es auch eine LED-Videoleuchte? Wer hat das schonmal probiert?
Icetiger
-
tamansari
Re: Blitz als Aufhellblitz
und eine Zeile tiefer liest DU:Lenno hat geschrieben:Wieso, sie schreiben doch gar kein Blödsinn, im Automatikblitzmodus steht doch 1/60 bis 1/4000. Das heißt diese Zeiten sind möglich, heißt aber nicht das es zu jeder dieser Zeiten dann auch blitzt. In dem von Binärius umrahmten Kasten steht ja das bei benötigter Blitzleistung maximal 1/160stel möglich ist, sowie bei den erzwungenen Blitzarten von vornherein nur 1/160stel möglich sind.
Also ist Aufhellblitzen, so wie man das von der DSLR kennt nicht möglich.
Im intelligenten Automatikmodus wird die Verschlusszeit je nach erkannter Szene geändert.
wie soll das denn der unbedarfte Laie interpretierten. Bin ja nur auf einer Dorfschule gewesen.
Wie auch immer, das ganze ist doch sehr verwirrend.
Wenn ich mir den Kasten mit den Symbolen und den Erklärungen ansehe muß ich Zwangsweise zu der Erkenntnis kommen bis 1/4000.
-
Lenno
Re: Blitz als Aufhellblitz
"Im intelligenten Automatikmodus wird die Verschlusszeit je nach erkannter Szene geändert."
Genau, von Blitzauslösung steht aber nichts.
Ich gebe dir recht, es ist sehr verwirrend.
Ist aber bekannt das Bedienungsanleitungen sehr komisch geschrieben sind, Stichwort: "Hintere Skala" (Einstellrad.)
Genau, von Blitzauslösung steht aber nichts.
Ich gebe dir recht, es ist sehr verwirrend.
Ist aber bekannt das Bedienungsanleitungen sehr komisch geschrieben sind, Stichwort: "Hintere Skala" (Einstellrad.)